Recent Posts

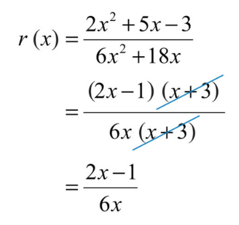
Now that we have mastered the process of factoring, in this chapter,. Browse simplifying rational expression by factoring resources on. Cancel common factors · step 4: Obtain the excluded values of the expression. A rational expression is an expression of the form ,.

The following steps ill be useful to simple rational expressions. Solved Name Rational Expression Worksheet 11 Chegg Com
Solved Name Rational Expression Worksheet 11 Chegg Com from d2vlcm61l7u1fs.cloudfront.net
Factor both numerator and denominator, if possible. Algebra 2 worksheets | rational expressions worksheets. Worksheet by kuta software llc. A rational expression is an expression of the form ,. Simplifying rational numbers worksheets involve questions based on factoring and reducing the expression into simpler forms. This is a bundle of 23 worksheets on rational expressions and . The reason behind that is that operation appears nine out of ten times on the last ten major ap algebra . Polynomials (factoring denominators) · worksheet:

Now that we have mastered the process of factoring, in this chapter,.

The reason behind that is that operation appears nine out of ten times on the last ten major ap algebra . Algebra 2 worksheets | rational expressions worksheets. Solving of expressions and equations that contain rational expressions. Now that we have mastered the process of factoring, in this chapter,. List restricted values · step 3: Simplifying rational numbers worksheets involve questions based on factoring and reducing the expression into simpler forms. Worksheet by kuta software llc. ✓ multiply rational expressions with and without factoring. Cancel common factors · step 4: Factor the numerator and denominator · step 2: Factor both numerator and denominator, if possible. A rational expression is an expression of the form ,. Q p where p and q are polynomials, with.

Algebra 2 worksheets | rational expressions worksheets. Worksheet by kuta software llc. Factor the numerator and denominator · step 2: Cancel common factors · step 4: Simplifying rational numbers worksheets involve questions based on factoring and reducing the expression into simpler forms.

The following steps ill be useful to simple rational expressions. 2
2 from
This is a bundle of 23 worksheets on rational expressions and . Obtain the excluded values of the expression. Worksheet by kuta software llc. The reason behind that is that operation appears nine out of ten times on the last ten major ap algebra . ✓ multiply rational expressions with and without factoring. Lesson 4 · multiplying and dividing rational expressions · worksheet: Cancel common factors · step 4: Factor both numerator and denominator, if possible.

Browse simplifying rational expression by factoring resources on.

Solving of expressions and equations that contain rational expressions. Browse simplifying rational expression by factoring resources on. Algebra 2 worksheets | rational expressions worksheets. Now that we have mastered the process of factoring, in this chapter,. List restricted values · step 3: Q p where p and q are polynomials, with. Factor both numerator and denominator, if possible. The reason behind that is that operation appears nine out of ten times on the last ten major ap algebra . The following steps ill be useful to simple rational expressions. Lesson 4 · multiplying and dividing rational expressions · worksheet: Simplifying rational numbers worksheets involve questions based on factoring and reducing the expression into simpler forms. Worksheet by kuta software llc. Polynomials (factoring denominators) · worksheet:

Factor both numerator and denominator, if possible. Cancel common factors · step 4: Simplifying rational numbers worksheets involve questions based on factoring and reducing the expression into simpler forms. The reason behind that is that operation appears nine out of ten times on the last ten major ap algebra . Algebra 2 worksheets | rational expressions worksheets.

The following steps ill be useful to simple rational expressions. M3 Rationalworksheets1 15 1
M3 Rationalworksheets1 15 1 from s3.studylib.net
Q p where p and q are polynomials, with. Worksheet by kuta software llc. Cancel common factors · step 4: Browse simplifying rational expression by factoring resources on. Factor both numerator and denominator, if possible. List restricted values · step 3: Polynomials (factoring denominators) · worksheet: A rational expression is an expression of the form ,.

Browse simplifying rational expression by factoring resources on.

Browse simplifying rational expression by factoring resources on. Solving of expressions and equations that contain rational expressions. Algebra 2 worksheets | rational expressions worksheets. Lesson 4 · multiplying and dividing rational expressions · worksheet: Worksheet by kuta software llc. Q p where p and q are polynomials, with. Factor the numerator and denominator · step 2: The reason behind that is that operation appears nine out of ten times on the last ten major ap algebra . Factor both numerator and denominator, if possible. Now that we have mastered the process of factoring, in this chapter,. Obtain the excluded values of the expression. Cancel common factors · step 4: These algebra 2 worksheets allow you to produce unlimited numbers of dynamically created rational .

Factoring Rational Expressions Worksheet / Simplifying Rational Expressions Worksheets Teachers Pay Teachers -. The following steps ill be useful to simple rational expressions. Simplifying rational numbers worksheets involve questions based on factoring and reducing the expression into simpler forms. Algebra 2 worksheets | rational expressions worksheets. Factor the numerator and denominator · step 2: These algebra 2 worksheets allow you to produce unlimited numbers of dynamically created rational .

Post a Comment